| 일 | 월 | 화 | 수 | 목 | 금 | 토 |
|---|---|---|---|---|---|---|
| 1 | 2 | 3 | ||||
| 4 | 5 | 6 | 7 | 8 | 9 | 10 |
| 11 | 12 | 13 | 14 | 15 | 16 | 17 |
| 18 | 19 | 20 | 21 | 22 | 23 | 24 |
| 25 | 26 | 27 | 28 | 29 | 30 | 31 |
- deep learning
- DP
- hm3dsem
- Python
- BFS
- YoLO
- 딥러닝
- CNN
- AlexNet
- ubuntu
- image processing
- 강화학습
- dynamic programming
- hm3d
- real-time object detection
- opencv
- eecs 498
- NLP
- 그래프 이론
- RL
- Reinforcement Learning
- MySQL
- machine learning
- r-cnn
- dfs
- C++
- LSTM
- GIT
- 머신러닝
- 백준
- Today
- Total
JINWOOJUNG
State-Action-Reward-State-Action 본문
본 게시글은 인하대학교 유상조 교수님의 Reinforcement Learning Tutorial Seminar
수강 후 정리를 위한 포스팅입니다.
모든 포스팅의 저작관은 유상조 교수님에게 있음을 사전 공지합니다.
Before This Episode
https://jinwoo-jung.tistory.com/30
Temporal Difference Method
본 게시글은 인하대학교 유상조 교수님의 Reinforcement Learning Tutorial Seminar 수강 후정리를 위한 포스팅입니다. 모든 포스팅의 저작관은 유상조 교수님에게 있음을 사전 공지합니다. Before This Episode
jinwoo-jung.tistory.com
지난 시간까지 MC, TD에 대하여 살펴 보았다.
Optimal Policy를 얻기 위해 Policy Evaluation - Policy Improvement를 진행해야 하며, 이때, MDP 없이는 state-value가 아닌 action-value가 더 유용함을 알 수 있었다.
이때, $\pi$에 근거하여 Evaluation을 통해 Q를 estimation하고 그에따라 Improvement를 하는데, Q가 가장 높은 action에 대하여 greedy action을 수행 함으로써 Policy를 Update 한다.
$$Q_{k+1}(s,a) \leftarrow Q_k(s,a) + \alpha [R_{t+1} + \gamma \underset{a'}{max} Q(s',a') - Q_k(s,a)]$$
이때, target은 action-value가 가장 큰 action $a'$에 대하여 greedy하게 진행되고, current는 $Q_k(s,a)$이다.
하지만 Expoloration을 위한 $ \varepsilon $-greedy의 경우 Target Policy를 따르지 않고 Behavior Policy를 따르게 된다. 결국, Target과 Behavior가 같지 않는 off-policy임을 알 수 있다.
만약 Target과 Behavior Policy를 같게 할 순 없을까?

이전에서 Update하는 과정과 달리 action $a$에 의해 state $S'$으로 이동했을 때, $\varepsilon$-greedy로 선택되어 진 action $a'$을 이용하여 state-value를 update 하면 된다.
$$Q_{k+1}(s,a) \leftarrow Q_k(s,a) + \alpha [R_{t+1} + \gamma Q(s',a') - Q_k(s,a)]$$
따라서 실제 Behavior에 의한 $a'$로 target을 설정하고 update 하기 때문에 결국 target=behavior인 on-Policy가 된다. 이 method가 SARSA(State-Action-Reward-State-Action)이다.

Target Policy를 다시 정의하면 optimal policy를 위해 Evaluation에 사용되는 Policy이고, Behavior Policy는 실제 action(Behavior)를 진행하기 위한 policy이다. 뒤에 예시들을 통해 두 차이를 더 잘 이해할 수 있을 것이다.
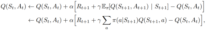
SARSA(State-Action-Reward-State-Action)
SARSA action-value estimation은 다음과 같이 진행된다.
$$Q(S_t, A_t) \leftarrow Q(S_t, A_t) + \alpha [R_{t+1} + \gamma Q(S_{t+1},A_{t+1}) - Q(S_t, A_t)]$$

sudo-code와 함께 살펴보면, state $S$에서 $\varepsilon$-greedy에 의해 선택된 action $A$를 수행 후 reward $R$을 관측하고 변화된 state $S'$에서 역시 $\varepsilon$-greedy에 의해 $A'$을 선택한 후 해당 value를 가지고 $Q(S,A)$를 Update한다.
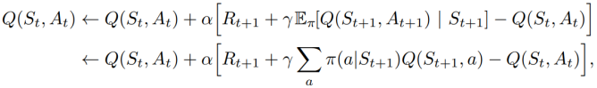
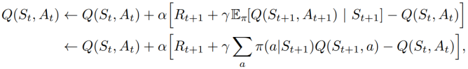
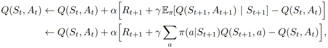
SARSA는 $\varepsilon$-greedy에 의해 특정 action $a'$을 선택한다. 하지만 $\varepsilon$-greedy에 의해 선택한다는 것은 각 action의 확률을 알고 있기에 가능하다. 따라서 각 action에 대한 $Q(S',a')를 계산하고 평균을 낸 value로 Target을 정하는 것이 Expected SARSA이다.


각 action에 대한 action-value를 알기 때문에, 특정 action 하나만 계산하는 것이 아닌, 전체를 계산하여 평균을 내는 value를 이용한다. 위 예시는 $\varepsilon$이 0.3이라는 가정하에 계산된다.

따라서 각각을 비교 해 보면, SARSA는 $S_{t+1}$에서 $\varepsilon$-greedy에 의한 특정 action만 고려하고, Expected SARSA는 각 action에 대하여 평균 값을 이용한다.
뒤에서 배울 Q-Learning의 경우 $Q(S',a')$에 대하여 max인 action을 선택하는 greedy 방식의 method 이다. 이는 max를 고려하기 때문에 실제 행동(behavior)과는 policy가 다르므로 Off-Policy 이다.
따라서 전체적인 Model을 비교 해 보면 아래와 같다.

Bias and Variance in RL
이전에 학습한 MC와 TD Methods의 경우 target value의 Bias와 Variance를 고려해야 한다.
추정치 $\hat{\theta}$의 Bias는 예측 평균($E[ \hat{\theta}]$)과 실제 true value($\theta$)의 차이로 정의된다. MC와 TD에서 추정한 $v_{\pi}(S_t)$에 적용하면, Bias는 다음과 같이 정의된다.
$$Bias = E[target] - v_{\pi}(S_t)$$
MC의 state-value function의 정의를 보면, $v_{\pi}(s) = E_{\pi}[G_t|S_t = s]$로, target value인 $G_t$의 평균이 결국 true value이기 때문에 unbiased라고 할 수 있다.
하지만, TD의 경우 $v_{\pi} = E_{\pi}[R_{t+1} + \gamma v_{\pi}(S_{t+1})|S_t = s]$로, target value에 Bootstrapping에 의한 추정치가 사용되기에 true value와 같아진다고 할 수 없어 biased라 할 수 있다.
state-value를 update하는 과정을 보면, MC의 경우 $v_{k+1} \leftarrow v_k(S_t) + \alpha[G_t - v_k(S_t)]$ Terminal state 까지 Episode를 모두 진행한 후 거꾸로 Return을 계산하기 때문에 variance가 크다고 할 수 있다.
하지만, TD의 경우 $v_{k+1} /leftarrow v_k(S) + \alpha [R_{t+1} + \gamma v_k(S') - v_k(S)]$로 이번 action에 의해 얻어진 return에 의존하기에 variance가 낮다고 할 수 있다.

그렇다면 어떤게 더 좋은 method라고 할 수 있을까?

state-value를 update하는 과정은 결국 optimal policy를 구하는 목적이 있다. 이 과정에서 value가 max인 action이 선택되기에 결국 Bias보단, Varience가 더 중요하다고 할 수 있다.
MC, TD 각 method가 수렴하는 그래프를 보면, TD는 Variance가 작지만, Bias가 존재하고, MC는 Variance가 크지만, Bias가 거의 없이 수렴함을 알 수 있다. Iteration이 증가할수록, MC가 더 좋아보이는 것은 맞지만, 실제 수행하는 과정에서 횟수의 Limitation이 존재하고, 그때 Variance가 크면 운이 좋지 않아 더 낮은 값을 취할 수 있기 때문에 TD가 더 좋다고 할 수 있다.
'Reinforcement Learning' 카테고리의 다른 글
| n-Step Bootstrapping (1) | 2024.01.22 |
|---|---|
| Q-Learning (0) | 2024.01.20 |
| Temporal Difference Method (0) | 2024.01.19 |
| Monte Carlo Method (0) | 2024.01.19 |
| Dynamic Programming (2) | 2024.01.03 |